CNRS13 – IKER UMR5478123, IPS-LMU2, UPV/EHU3, UPPA23
15-11-2023

Walker, Rachel & Pullum, Geoffrey K. 1999. Possible and impossible segments. Language 75(4). 764-780. doi:10.2307/417733
Moran, Steven & McCloy, Daniel (eds.). 2019. Phoible 2.0. http://phoible.org
Moran, Steven & McCloy, Daniel (eds.). 2019. Phoible 2.0. http://phoible.org
Moran, Steven & McCloy, Daniel (eds.). 2019. Phoible 2.0. http://phoible.org
If /h̃/ is so rare, then languages that include both /h/ and /h̃/…
Blevins, Juliette & Egurtzegi, Ander. 2023. Refining explanation in Evolutionary Phonology. Linguistic Typology 27. doi:10.1515/lingty-2021-0036
Hualde, José Ignacio. 2003. Segmental phonology. A grammar of Basque, 15-65. Berlin & New York: Mouton de Gruyter.
Oral /h/, potentially present in Proto-Basque (hori ‘that’)
Nasalized /h̃/, from historical intervocalic n (Lat. (h)onore* > oh̃ore ‘honor’)
/h/ -> Only in continental varieties
/h̃/ -> Only in Zuberoan & Mixean Basque
Onset only
First 2 syllables only
Only 1 aspirated segment in each word
| Example | Transcription | Gloss |
|---|---|---|
| hori | /hoɾi/ | ‘that (one)’ |
| harri | /hari/ | ‘stone’ |
| aho | /aho/ | ‘mouth’ |
| ehun | /ehun/ | ‘hundred’ |
| elhe | /elhe/ | ‘word’ |
| senhar | /s̺enhar/ | ‘husband’ |
| Example | Transcription | Gloss |
|---|---|---|
| ahai | /ah̃ai̯/ | ‘ram’ |
| ahuntz | /ah̃unts̻/ | ‘goat’ |
| ihes | /ih̃es̺/ | ‘run away’ |
| ahate | /ah̃ate/ | ‘duck’ |
| dihaü | /dih̃ay/ | ‘money’ |
| uhue | /uh̃ue/ | ‘honor’ |


mih̃i ‘tongue’ ~ min-gain ‘upper part of the tongue’
*ardah̃o ‘wine’ ~ ardan-degi ‘winery’
*gaztah̃a ‘cheese’ ~ gaztan-bera ‘curd’
But mihi, ardo & gazta in Standard Basque


500-800 AD
Lenition of intervocalic /n/
/VnV/ > /Vh̃V/
1000-1300 AD
Loss of laryngeals
in post-tonic last syllable
in (North) Eastern varieties
/hV.’hV.hV/ > /hV.hV.V/


1600-1900 AD
Loss of nasality in aspirates
in most Basque varieties
/Vh̃V/ > /VhV/
Today
Nasalization of aspirates
preserved in Zuberoan Basque
ehi ‘finger’ vs. eh̃i ‘easy’
| Latin | Gal-Port. | Gloss |
|---|---|---|
| plānum | chão | ‘flat’ |
| tenebrās | tẽevras | ‘darkness’ |
| lūnam | lũa | ‘moon’ |
| regīnam | raĩa | ‘queen’ |
| gallīnam | galĩa | ‘hen’ |
| Chisa Corsican | Galeria Corsican | Gloss |
|---|---|---|
| [ˈpanɛ] | [ˈpãe] | ‘bread’ |
| [ˈpona] | [ˈpe] | ‘to put’ |
| [ˈvĩnu] | [ˈbĩu] | ‘wine’ |
| [ˈɔ̃ne] | [ɔ̃] | (suffix) |
Dalbera-Stefanaggi, Marie-José. 1989. La nasalisation en corse. Revue de linguistique romane 53. 145-158.
| Latin | Gascon | Gloss |
|---|---|---|
| Dominicus | Domeeg | (personal name) |
| gallīnas | garias | ‘hen (pl.)’ |
| abellanētum | aueraed | ‘hazelnut grove’ |
| camināre | camiar | ‘to walk’ |
| Castanētum | Castahied | (place name) |
Luchaire, Achille. 1879. Etudes sur les idiomes pyrénéens de la région française. Paris: Maisonneuve.
| Sard. Var. A | Sard. Var. B | Sard. Var. C |
|---|---|---|
| [ˈpanɛ] | [ˈpãi] | - |
| [ˈkɛna] | [ˈtʃɛ̃a] | - |
| [ˈaʒina] | [ˈaʒĩa] | [ˈaʒĩʔa] |
| [ˈluna] | [ˈlũa] | [ˈlũʔa] |
Molinu, Lucia. 2022. Nasalizzazione e lenizione in sardo meridionale. Paper presented at CILPR.
Scarce evidence for an aspirate outcome in Romance.
Blevins, Juliette & Egurtzegi, Ander. 2023. Refining explanation in Evolutionary Phonology. Linguistic Typology 27. doi:10.1515/lingty-2021-0036
Egurtzegi, Ander. 2023. /h̃/ hasperen sudurkarituaren inguran [On the nasalized aspiration /h̃/]. International Journal of Basque Linguistics and Philology 57.
- [ʔ] in Sarrabus/Isili Sardinian
Why did /h̃/ develop in Basque? / Why was it maintained?
- [h̃] was likely an allophonic variant of /h/.
ehi /ˈehi/ ‘finger’
vs.
ehi /ˈeh̃i/ ‘easy’
vs.
ei /ˈe.i/ ~ /ei̯/ ‘ill’
Egurtzegi, Ander. 2018. On the phonemic status of nasalized /h̃/ in Modern Zuberoan Basque. Linguistics 56. 1353-1367. doi:10.1515/ling-2018-0024
Zuberoan only shows contrastive nasalization in word-final stressed vowels.
Mixean does not show contrastive nasalization in vowels.
Egurtzegi, Ander. 2018. On the phonemic status of nasalized /h̃/ in Modern Zuberoan Basque. Linguistics 56. 1353-1367. doi:10.1515/ling-2018-0024
All vowels surrounding nasal consonants are contextually nasalized in Basque:
ona [ˈõnã] ‘the good’
ama [ˈãmã] ‘mother’
uhue [ũˈh̃ũẽ] ‘honor’
ahate [ãˈh̃ãte] ‘duck’
Egurtzegi, Ander. 2018. On the phonemic status of nasalized /h̃/ in Modern Zuberoan Basque. Linguistics 56. 1353-1367. doi:10.1515/ling-2018-0024
| Example | Transcription | Gloss |
|---|---|---|
| janhari | [jãnˈɦ̃ãi̯] | ‘food’ |
| sinhets | [s̺ĩɲˈɦ̃ẽts̺] | ‘to believe’ |
| nahi | [ˈnãɦ̃ĩ] | ‘to want’ |
| mehe | [ˈmẽɦ̃ẽ] | ‘thin’ |
| senhar | [ẽɦ̃ũn] | ‘hundred’ |
| lehen | [lẽɦ̃ẽn] | ‘first’ |
No research on the opposition in Basque
No research on the opposition in any other language
No nasalance-based study of [h̃]
Basque is an endangered language (vulnerable according to UNESCO)
(Almost?) All Basque varieties other than the standard
Particularly the Basque varieties spoken in the Northern Basque Country in France
Are /h/ and /h̃/ still found in Basque?
Most likely varieties:
Mixean Basque
Zuberoan Basque
If present, let’s describe the opposition


Camino, I. 2016. Amiküze eskualdeko heskuara [The Basque of the region of Amiküze (Mixe)]. Bilbao: Euskaltzaindia.


Styler, W. 2017. On the acoustical features of vowel nasality in English and French, J. Acoust. Soc. Am. 142(4), 2469–2482.
20 explicit measurements of vocalic nasality (Styler 2017):
Measurements taken in Praat and R (using wrassp; Winkelmann et al. 2017)
Additionally: MFCCs 2-12 (OpenSMILE)
All measurements taken at 5ms intervals
Styler, W. 2017. On the acoustical features of vowel nasality in English and French, J. Acoust. Soc. Am. 142(4), 2469–2482.
Winkelmann, R., Bombien, L. & Scheffers, M. 2017. Wrassp: Interface to the ‘ASSP’ Library.
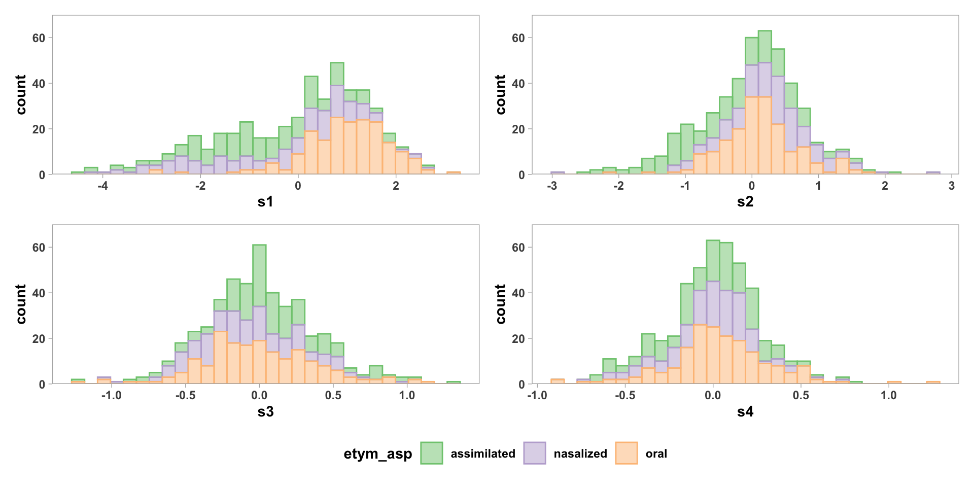
For each speaker, the 31-feature set was submitted to a principal components analysis (PCA) model
The number of PCs that cumulatively explained at least 80% of the total variance were retained for each speaker:
The scores for the retained PCs were used as linear predictors in speaker-specific models built to distinguish oral and nasalized vocalic contexts
Egurtzegi, Ander & Carignan, Christopher. 2020. A typological rarity: the /h/ vs. /h̃/ contrast of Mixean Basque. LabPhon 17.
“Unambiguously” oral and nasalized tokens were selected:
Average training data per speaker: 258 nasalized tokens, 222 oral tokens
Logistic regression models (with PC score IVs) built for each speaker
Hosmer and Lemeshow goodness of fit tests
LME with random intercepts by speaker
Pair-wise post hoc tests with Tukey alpha correction
Egurtzegi, Ander & Carignan, Christopher. 2020. A typological rarity: the /h/ vs. /h̃/ contrast of Mixean Basque. LabPhon 17.
Egurtzegi, Ander & Carignan, Christopher. 2020. A typological rarity: the /h/ vs. /h̃/ contrast of Mixean Basque. LabPhon 17.
Stimuli + SpeechRecorder + Nasalance device
| /h/ | /h̃/ | Nh / NVh / hVN |
|---|---|---|
| behi ‘cow’ | ahate ‘duck’ | uɲhu ‘onion’ |
| bihotz ‘heart’ | ihaute ‘carnival’ | lehen ‘first, before’ |
| ehi ‘finger’ | ehi ‘easy’ | nihaur ‘me, myself’ |



Wooden plate
5 participants
4 male : 1 female
60-70 years old
L1 Zuberoan Basque
L2 French at age 5 (school)





→
→
\[ Amplitude \]
→
→
\[ A_n \]
\[ A_o \]
↓
↓
\[ \frac{A_n}{A_n + A_o} \times 100 \]
Egurtzegi, A., A. García-Covelo & I. Urrestarazu-Porta. 2023. “A nasalance-based study of the /h/ vs. /h̃/ opposition in Zuberoan Basque”. In Skarnitzl & Volín (eds.), Proceedings of ICPhS 20, 3427-3431.

Dependent variable: z-scored nasalance
Independent variables: aspirate category, trial
Correlated varying intercept & slope: speaker, word
Weakly informative priors
8 chains x 10 000 iterations (5000 warm-up)
delta = 0.999
maximum tree depth = 12
Egurtzegi, A., A. García-Covelo & I. Urrestarazu-Porta. 2023. “A nasalance-based study of the /h/ vs. /h̃/ opposition in Zuberoan Basque”. In Skarnitzl & Volín (eds.), Proceedings of ICPhS 20, 3427-3431.

Egurtzegi, A., A. García-Covelo & I. Urrestarazu-Porta. 2023. “A nasalance-based study of the /h/ vs. /h̃/ opposition in Zuberoan Basque”. In Skarnitzl & Volín (eds.), Proceedings of ICPhS 20, 3427-3431.

Egurtzegi, A., A. García-Covelo & I. Urrestarazu-Porta. 2023. “A nasalance-based study of the /h/ vs. /h̃/ opposition in Zuberoan Basque”. In Skarnitzl & Volín (eds.), Proceedings of ICPhS 20, 3427-3431.
Etymologically oral aspirates ≠ Assimilated nasal aspirates ≈ Etymologically nasalized aspirates
There is an opposition between /h/ and /h̃/!!!
Egurtzegi, A., A. García-Covelo & I. Urrestarazu-Porta. 2023. “A nasalance-based study of the /h/ vs. /h̃/ opposition in Zuberoan Basque”. In Skarnitzl & Volín (eds.), Proceedings of ICPhS 20, 3427-3431.
Etymologically oral aspirates ≠ Assimilated nasal aspirates ≈ Etymologically nasalized aspirates
There is an opposition between /h/ and /h̃/!!!
Not all speakers maintain the opposition to the same extent
Egurtzegi, A., A. García-Covelo & I. Urrestarazu-Porta. 2023. “A nasalance-based study of the /h/ vs. /h̃/ opposition in Zuberoan Basque”. In Skarnitzl & Volín (eds.), Proceedings of ICPhS 20, 3427-3431.
Etymologically oral aspirates ≠ Assimilated nasal aspirates ≈ Etymologically nasalized aspirates
There is an opposition between /h/ and /h̃/!!!
Not all speakers maintain the opposition to the same extent
Some lexical items have lost nasalization
Egurtzegi, A., A. García-Covelo & I. Urrestarazu-Porta. 2023. “A nasalance-based study of the /h/ vs. /h̃/ opposition in Zuberoan Basque”. In Skarnitzl & Volín (eds.), Proceedings of ICPhS 20, 3427-3431.
Etymologically oral aspirates ≠ Assimilated nasal aspirates ≈ Etymologically nasalized aspirates
There is an opposition between /h/ and /h̃/!!!
Not all speakers maintain the opposition to the same extent
Some lexical items have lost nasalization
There is an opposition, but it is receding
Work in progress
| etym_asp | emmean | lower.HPD | upper.HPD |
|---|---|---|---|
| assimilated | -0.7363393 | -1.1562409 | -0.2801506 |
| nasalized | -0.4691249 | -1.5250014 | 0.7226606 |
| oral | 0.9772860 | 0.4972216 | 1.5185178 |
| etym_asp | emmean | lower.HPD | upper.HPD |
|---|---|---|---|
| assimilated | -0.3503060 | -0.47628012 | -0.1989825 |
| nasalized | 0.2663018 | 0.03689933 | 0.4889086 |
| oral | 0.1087322 | -0.08299959 | 0.3058489 |
| etym_asp | emmean | lower.HPD | upper.HPD |
|---|---|---|---|
| assimilated | 0.08153864 | -0.08457668 | 0.2548145 |
| nasalized | -0.06823417 | -0.26750860 | 0.1754418 |
| oral | -0.00615058 | -0.20369904 | 0.2071757 |
Hualde, José Ignacio. 1993. Topics in Souletin phonology. In J.I Hualde & J. Ortiz de Urbina (eds.) Generative Studies in Basque Linguistics , pp. 289-327. John Benjamins.
Egurtzegi, Ander. 2013. Diferentes tipos de aspiración en vasco (con análisis espectrales del dialecto suletino actual) [Different kinds of aspiration in Basque (with spectral analyses of the modern Zuberoan dialect)]. In Blasco et al. (eds.), Iberia e Sardegna . Firenze: Le Monnier. 151–169.
Egurtzegi, Ander. 2018. On the phonemic status of nasalized /h̃/ in Modern Zuberoan Basque. Linguistics 56. 1353-1367. doi: 10.1515/ling-2018-0024
Egurtzegi, A., A. García-Covelo & I. Urrestarazu-Porta. 2023. “A nasalance-based study of the /h/ vs. /h̃/ opposition in Zuberoan Basque”. In Skarnitzl & Volín (eds.), Proceedings of ICPhS 20, 3427-3431.
Egurtzegi, Ander & Carignan, Christopher. 2020. A typological rarity: the /h/ vs /h̃/ contrast of Mixean Basque. Labphon 17.
Egurtzegi, Ander. 2023. /h̃/ hasperen sudurkarituaren inguran [On the nasalized aspiration /h̃/]. International Journal of Basque Linguistics and Philology 57.
Boersma, Paul & Weenink, David. 2022. Praat. Doing phonetics by computer . https://www.praat.org
Bürkner, Paul-Christian. 2017. brms: An R Package for Bayesian Multilevel Models Using Stan. Journal of Statistical Software 80(1). 1-28. doi: 10.18637/jss.v080.i01
Draxler, Christoph & Jänsch, Klaus. 2004. SpeechRecorder - a Universal Platform Independent Multi-Channel Audio Recording Software. In Proc. of LREC. 559-562. https://www.bas.uni-muenchen.de/Bas/software/speechrecorder/
R Core Team. 2022. R: A language and Environment for Statistical Computing . https://www.R-project.org
Wickhan, Hadley et al. 2019. Welcome to the tidyverse. Journal of Open Source Software 43(4). doi: 10.21105/joss.01686